Undoped polythiophene field-effect transistors with mobility of 1 cm<SUP>2</SUP> V<SUP>-1</SUP> s<SUP>-1</SUP>
Hamadani, B. H.; Gundlach, D. J.; McCulloch, I.; Heeney, M.
APPLIED PHYSICS LETTERS
2007
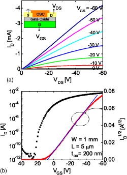
We report on charge transport in organic field-effect transistors based on poly(2,5-bis(3-tetradecylthiophen-2-yl)thieno[3,2- b] thiophene) as the active polymer layer with saturation field-effect mobilities as large as 1 cm2 V-1 s-1. This is achieved by employing Pt instead of the commonly used Au as the contacting electrode and allows for a significant reduction in the metal/polymer contact resistance. The mobility increases as a function of decreasing channel length, consistent with a Poole-Frenkel model of charge transport, and reaches record mobilities of 1 cm2 V-1 s-1 or more at channel lengths on the order of few microns in an undoped solution-processed polymer cast on an oxide gate dielectric. © 2007 American Institute of Physics.


