Process for preparing substituted pentacenes
Tierney, Steven; Heeney, Martin; Bailey, Clare; Zhang, Weimin
PATENT
2018
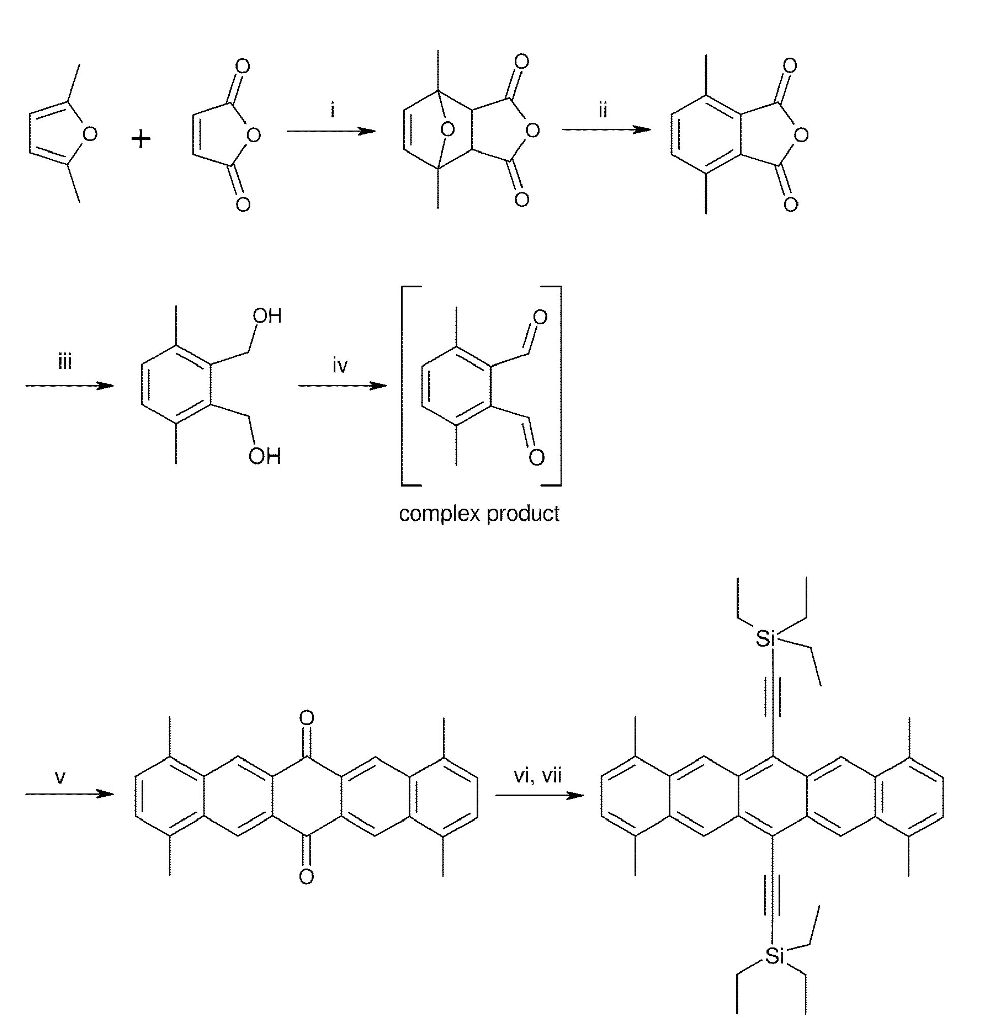
The invention relates to a process of preparing substituted pentacenes, to novel pentacenes prepared by this process, to the use of the novel pentacenes as semiconductors or charge transport materials in optical, electrooptical or electronic devices including field effect transistors (FETs), electroluminescent, photovoltaic and sensor devices, and to FETs and other semiconducting components or materials comprising the novel pentacenes.


