Stable semiconducting thiophene polymers and their field effect transistor characteristics
Heeney, Martin; Bailey, Clare; Genevicius, Kristijonas; Giles, Mark; Shkunov, Maxim; Sparrowe, David; Tierney, Steve; Zhang, Weimin; McCulloch, Iain
Organic Field-Effect Transistors IV
2005
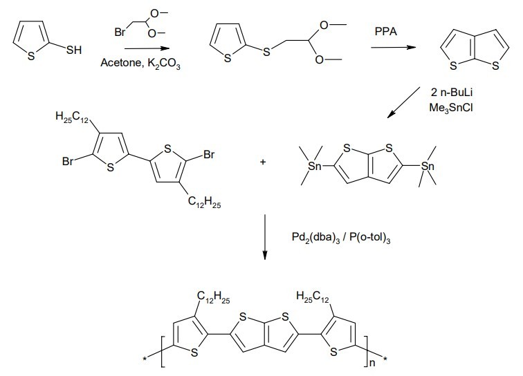
The development of p-type semiconducting polymers demonstrating good stability under ambient operation is of importance for the development of low cost, printed electronics. We present here the synthesis and full characterisation of two soluble terthiophene polymers, and examine the effect of introducing a fused aromatic heterocycle, thieno[2,3-b]thiophene, into a terthiophene polymer backbone. This heterocycle contains a cross-conjugated central double bond, and its inclusion was shown to have a marked influence on the optical, thermal and electrical properties of the terthiophene polymer. Transistors were fabricated from both polymers, and the operation and storage lifetime under ambient operation was compared.


